Ketimpangan ekonomi merugikan semua masyarakat. Apalagi ketimpangan di Indonesia n = 2,2 maka lebih dari timpang kuadrat. Karena lebih dari 2. Kabar baiknya, kita bisa memperbaikinya. Menjadikan masyarakat lebih adil makmur merata.
Dalam tulisan ini saya akan membahas cara menurunkan nilai ketimpangan n (dan rasio Gini G). Dan mencoba membuat simulasi kondisi di Indonesia.
- Cara menghitung nilai ketimpangan n
A. Kumpulkan data pendapatan atau kekayaan
B. Susun data urut dari terkecil ke terbesar
C. Susun data kumulatif
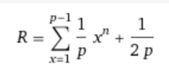
D. Hitung jumlah Riemann dari data kumulatif
E. Hitung nilai ketimpangan n
Selesai.

Di atas adalah contoh simulasi data Indonesia adil makmur dengan nilai ketimpangan n = 1,5 yang bagus. Adil makmur. Kurva Lorenz seperti di bawah ini.

Dalam contoh di atas saya mengumpulkan data terdiri dari 20 data pendapatan. Karena 20 data maka 1/20 = 0,05 di sebelah kiri kita buat grafik y = x dengan menaik 0,05 tiap datanya.
Data income diurutkan dari terkecil menuju terbesar. Bisa dengan “sort” di excel atau manual.
Data kumulatif “cum” kita buat dengan menjumlahkan masing-masing data baru.
kumulatif [1] = data [1] = 3500
kumulatif [2] = kumulatif [1] + data [2] = 3500 + 3500 = 7000
kumulatif [3] = kumulatif [2] + data [3] = 7000 + 3500 = 10500 dan seterusnya.
Kita normalisasi data kumulatif dengan membagi masing-masing data dengan jumlah total, yaitu = 121200. Maka kita peroleh data kumulatif ternormalisasi yang besarnya antara 0 dan 1.
Data kumulatif ini yang kemudian kita jumlahkan dengan rumus deret Riemann.

x^n adalah kumulatif [1], kumulatif [2], dan seterusnya sampai kumulatif [19]. Dalam contoh ini kita mengambil p = 20 data.
Hitung nilai ketimpangan = n

Selesai.
Jika memerlukan indeks Gini atau rasio Gini maka hitung dari n.

Sebaliknya juga mudah. Jika kita sudah tahu G maka bisa menghitung n.

2. Simulasi nilai ketimpangan Indonesia
Selanjutnya kita bisa melakukan simulasi. Misal untuk Indonesia saat ini nilai ketimpangan n = 2,2 (atau G = 0,38), sekitar 10% di bawah garis kemiskinan dengan pendapatan 400 ribu rupiah per bulan, dan income per kapita 59 juta rupiah.

Kondisi yang lebih dari timpang kuadrat ini kita coba perbaiki. Dengan cara menurunkan nilai ketimpangan n agar di bawah 2 – sehingga tidak kuadrat lagi. Dengan sendirinya G akan turun di bawah 0,333.
3. Kondisi ketimpangan Indonesia bergerak membaik
Berhasil menurunkan ketimpangan menjadi n = 1,9.

Caranya adalah dengan memberdayakan, menguatkan masyarakat bawah. Yang semula di bawah garis kemiskinan naik menjadi pendapatan 2 juta rupiah per bulan. Income per kapita juga naik jadi 64,4 jt (per tahun).
Tampaknya tidak sulit menaikkan pendapatan jadi 2 juta rupiah per bulan.
Tapi kita perlu hati-hati. Karena ini hitungan per orang. Bila satu keluarga terdiri dari 4 orang maka pendapatan keluarga tersebut haruslah 4 orang x 2 juta = 8 juta.
Cukup bagus dan tidak terlalu muluk barangkali ya?
4. Ketimpangan Indonesia menurun tercipta adil makmur
Indonesia adil makmur tercipta seperti simulasi paling awal dengan nilai ketimpangan n = 1,5.

Mendorong dan menguatkan rakyat termiskin berhasil memperoleh pendapata 3,5 juta rupiah per bulan per orang.
Income per kapita naik jadi 73 juta rupiah. Bagus! Tapi tidak terlalu jauh dengan kondisi Indonesia saat ini dengan income per kapita hampir 60 juta. Dengan semangat bersama dan berkeadilan kita bisa.
Meski ini masih jauh dibanding negara maju misal Amerika atau Selandia Baru di mana income per kapita mereka di atas 600 juta rupiah tapi Indonesia sudah adil makmur. Tentu dengan catatan adalah yang miskin terentaskan.
Jika yang terjadi yang kaya makin kaya dan yang miskin tetap miskin maka ketimpangan makin menganga. Dengan income per kapita yang sama 73 juta maka nilai ketimpangan melonjak n = 3,2 jauh di atas kuadrat. Bahkan di atas kubik.
Maka yang kita perlukan saat ini adalah memperkuat masyarakat kecil agar pendapatan di atas 3,5 juta rupiah per bulan per orang. Tercipta adil dan makmur. Masyarakat lapisan kaya juga ikut terangkat lebih maju lagi.
Bagaimana menurut Anda?
