Nilai Ro adalah nilai maksimum dari Rt atau Re = reproduction effective.
Maka kita menduga nilai Ro terkait dengan puncak-puncak grafik dari R terhadap waktu.

Kita sudah buktikan untuk h > K dan h > I nilai R kita hitung dengan perbandingan geometri total kasus aktif sebagaimana berikut ini.



Selanjutnya kita akan menyelidiki kasus di mana h <2I dan khususnya I <= K. Untuk mendapatkan estimasi nilai Ro. (Untuk I > K kita sudah mendapat nilai R sejak h > I).
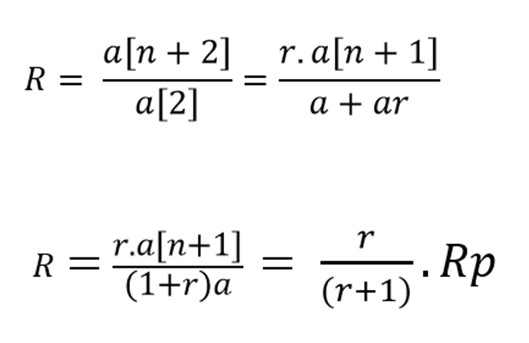
Misalkan a[n] adalah jumlah total kasus aktif pada waktu n, dan r adalah rasio geometri harian.

bahwa nilai Rp di atas lebih besar dari semua nilai R lain. Misal bila kita geser 1 suku ke kanan,

Terbukti Rp > R.
Faktor pengali r/(r+1) selalu kurang dari 1 karena r bilangan positif atau 0. Jadi R < Rp. Demikian juga bila suku-suku deret digeser 2 suku atau lebih ke kanan.
Bahkan jika kita menggeser sampai n suku ke kanan kita peroleh,

Hasil ini konsisten dengan formula awal ketika h > I.
Sedangkan menggeser a[n + 1] ke kiri mengakibatkan pembagian a[n] oleh a[0]. Di mana kita belum memperoleh data a[0] sehingga kita definisikan sebagai R = 1. Seberapa jauh pun kita menggeser ke kiri maka kita definisikan konstan R = 1.
Dengan mengambil n = I maka kita mendapatkan Ro dengan memecahkan persamaan yang berhubungan dengan Rp.
Rp adalah nilai R pada puncak grafik, bukan nilai Ro sebenarnya. Tetapi nilai Ro adalah justru r^n = r^I. Maka dengan memecahkan persamaan Rp kita peroleh r^I = Ro.
Contoh 1:
r = 2
n = I = 3 hari
K = 3 hari
Maka:
a[n+1] = a[3+1] = 1 + 2 + 4 + 8 – 1 = 14
a[1] = 1
Rp = 14 = {(2^4 – 1)/(2 – 1)} – 1 = 15 – 1 = 14 … … … (benar).
Atau
Rp = 14 = (r^4 – 1)/(r – 1) – 1


Maka kita selesaikan persamaan di atas kita peroleh r = 2. Dan Ro = r^3 = 2^3 = 8.
Contoh 2:
r = 2
n = I = 2 hari
K = 2 hari
Maka:
a[n+1] = a[2+1] = 1 + 2 + 4 – 1 = 6
a[1] = 1
Rp = 6 = {(2^3 – 1)/(2 – 1)} – 1 = 7 – 1 = 6 … … … (benar).
Atau
Rp = 6 = (r^3 – 1)/(r – 1) – 1


Pilih solusi positif r = 2.
Maka kita selesaikan persamaan di atas kita peroleh r = 2. Dan Ro = r^n = 2^2 = 4.
Cara Praktis Menentukan Ro dari Grafik
- Buat grafik fungsi R terhadap waktu.
- Tentukan puncak grafik = Rp.
- Tentukan n = I
- Pecahkan persamaan Rp dan r seperti di atas.
- Maka Ro = r^n = r^I.
Selesai.
Proses statistik/stokastik
Metode eksak menentukan Ro sudah kita uraikan di atas. Pada kenyataannya kita lebih sering menghadapi sistem stokastik yang melibatkan perhitungan statistik lengkap dengan ketidakpastiannya.
Maka kita dapat menentukan nilai Ro dengan pendekatan statistik. Di mana,
I = periode inkubasi = mean dari periode inkubasi = 2 hari untuk covid
K = periode keluar = mean dari periode keluar = 10 hari, misalnya, untuk covid-19.
Misal dari grafik R covid suatu wilayah kita peroleh Rp = 5. Maka


Kesimpulan: Ro = 1,7913^2 = 3,21
Kita coba contoh lagi.
Misal untuk grafik R covid diperoleh Rp = 20 dengan I = 5.


Kesimpulan Ro = 1,50439^5 = 7,71.
Wow… hebat juga!?
Bagaimana menurut Anda?

Tinggalkan komentar