Saya mengembangkan berbagai macam cara menghitung reproduction number R. Awalnya saya mengestimasi Rt dengan geometric mean. Lalu mengembangkan cara estimasi Ro. Dan menyususn sistem dinamik.

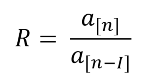
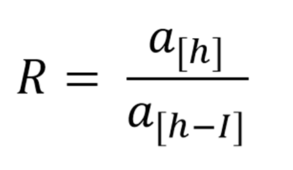
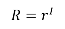
Cara menghitung nilai R secara eksak adalah,

Contoh dan bukti keabsahan formula di atas sudah saya tuliskan pada tulisan-tulisan saya sebelumnya.
Kali ini saya akan membahas ulang dengan notasi alternatif. Semoga lebih sederhana. Berlaku lebih luas.
R = reproduction number = Rt = Re = Reproduction effective
a[n] = banyaknya total kasus aktif pada waktu ke n.
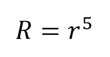
I = periode inkubasi, misal mean I untuk covid-19 = 5 hari
Metode yang kita bahas ini adalah metode eksak. Dalam arti kita masih memandang sistem sebagai deterministik. Sedangkan di alam ini hampir semua kasus ada ketidakpastian. Maka lebih mirip dengan sistem stokastik dan kita perlu memanfaatkan statistik.
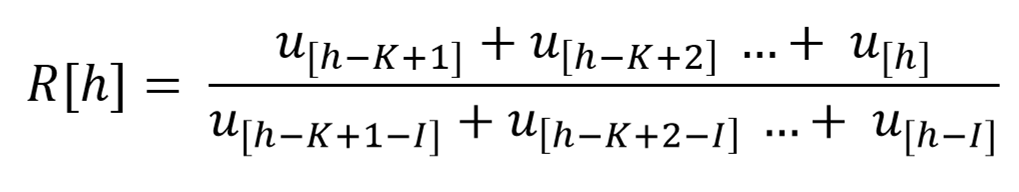
a[h] = S[h] – S[h – K]
a[h – I] = S[h – I] – S[h – I – K]
maka

h = hari ke h
K = periode kasus keluar, kasus selesai, misal untuk covid adalah 9 hari
S[h] = jumlah kasus aktif baru dari hari ke 1 sampai hari ke h.
S[h] = u[1] + u[2] + … + u[h]
u[h] : banyaknya kasus aktif baru pada hari ke h.
Maka
a[h] = S[h] – S[h-K] = u[h] + u[h-1] + … + u[h-K+1]
a[h-I] = S[h-I] – S[h-I-K] = u[h-I] + u[h-I-1] + u[h-I-K+1]


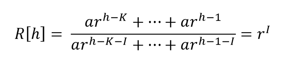
Perhatikan bahwa masing-masing suku deret di atas adalah r^I kali dari masing-masing suku deret di bawah. Maka perbandingannya,

Untuk contoh corona karena I = 5 hari maka

Di mana r adalah rasio pertumbuhan harian total kasus aktif. Metode ini sah ketika h > 2I.
Jika h < 2I
maka kita memperoleh nilai
R transien = R[T]
Formula yang sama masih bisa kita gunakan dengan definisi tambahan.
a[h] = a[1] untuk semua h < 1
Kadang kita juga bisa menganggap a[h] = 0 untuk memudahkan analisis dengan hasil yang tetap akurat.
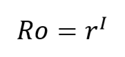
Rp = R puncak = Nilai maksimum dari R[T].

Bisa ditunjukkan R[T] yang lain adalah lebih kecil atau sama dengan Rp. Anggap a[h] = 0 untuk h < 1.

Terbukti R[T] lebih kecil dari Rp.
Selanjutnya kita bisa memanfaatkan Rp untuk menentukan Ro. Karena Rp terjadi di masa-masa penularan maka nilai Rp berhubungan dengan nilai puncak R yaitu R0.
Dengan memecahkan persamaan

maka

Sedangkan nilai R[T] sebelum Rp pasti lebih kecil dari Rp karena pembilang lebih kecil, yaitu banyaknya suku kurang dari I suku.
Yang menarik juga bahwa R[T] = R[n], membentuk fungsi kontinyu R ketika n = 2I.
Bagaimana menurut Anda?
