Abstrak
Metode estimasi nilai angka reproduksi R menjadi sangat penting karena menentukan apakah suatu wabah masih akan terus berkembang atau akan mereda. Berbagai metode estimasi telah dikembangkan baik menggunakan kalkulasi sederhana, kalkulus, statistik, dan lain-lain. Kajian ini bermaksud mengusulkan satu metode baru yaitu geometric mean of ratio – GMR. Dengan GMR, estimasi mudah dilakukan cukup dengan perangkat kalkulator atau komputer sederhana, periode sampling fleksibel sehingga memungkinkan didapat data nilai R secara realtime. GMR dapat mengestimasi nilai R baik Rt atau Re dan Ro.
Pendahuluan
Tinjauan metode terdahulu
Berikut sebagian metode estimasi R yang sudah dikenal. Metode kalkulasi sederhana mengestimasi R dengan asumsi R berbanding lurus dengan besarnya populasi yang rawan terinfeksi dan kecepatan transmisi virus. Tetapi berbanding terbalik dengan kecepatan suatu kasus selesai – karena sembuh lalu imun atau atau karena meninggal.
Metode kalkulus, salah satunya adalah model SIR. Metode ini mendekati nilai R dengan menyusun beberapa sistem persamaan diferensial lalu memecahkannya. Guna menyusun sistem persamaan diperlukan berbagai macam asumsi termasuk periode inkubasi, recovered, periode berlipat dua, dan lain-lain.
Kajian ini mengusulkan metode geometric mean of ratio yang memanfaatkan data-data lapangan khususnya data kasus baru, kasus sembuh, dan kasus meninggal.
Metodologi
Metode GMR memanfaatkan laporan data lapangan untuk mendapatkan data total kasus aktif dan memanfaatkan laporan dari bidang kesehatan yang mengestimasi periode inkubasi suatu virus.
Berikutnya menyusun model matematika untuk estimasi R di mana kita mengasumsikan bahwa virus berkembang mengikuti deret geometri secara natural. Asumsi ini sesuai dengan sifat replikasi virus dan wabah pada umumnya.
Pembuktian matematika untuk meyakinkan bahwa perhitungan GMR adalah valid. GMR dapat kita gunakan untuk menghitung Rt ketika waktu sudah cukup lama, data stabil, secara langsung. Sedangkan untuk menghitung Ro dilakukan ketika wabah baru berkembang dengan memecahkan sistem persamaan R.
Selanjutnya penerapan GMR ke sistem kehidupan nyata mempertimbangkan proses stokastik. Di sini kita menerapkan berbagai macam metode statistik untuk menetapkan mean, median serta confidence interval.
Pengumpulan Data
Data yang perlu dikumpulkan adalah data penambahan kasus baru harian, sembuh harian, dan meninggal harian. Data ini bisa kita buat sendiri. Atau dalam kasus covid-19 kita dapat memanfaatkan data yang disediakan oleh gugus tugas secara resmi.
Selanjutkan data hasil penelitian yang menunjukkan periode inkubasi. Untuk kasus covid-19, periode inkubasi kisaran 2 – 14 hari dengan mean 5,2 hari dan ci 95%. Beberapa peneliti mungkin saja menghasilkan laporan yang berbeda.
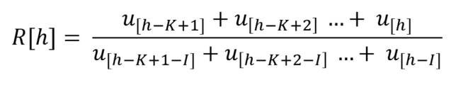
Data kasus harian baru kita misalkan sebagai u[h].
u[h] = banyaknya kasus baru pada hari h
Banyak kasus aktif kita misalkan a[h].
a[h] = banyaknya kasus aktif pada hari h.
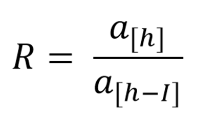
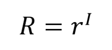
Maka angka reproduksi R dapat kita hitung,

untuk h > 2I.
I = periode inkubasi, misal dalam kasus covid-19 kita ambil 5 hari.
Pembuktikan Matematika
Banyaknya total kasus aktif, a[h], pada hari h adalah banyaknya seluruh kasus dikurangi dengan banyaknya kasus yang sudah “keluar” – karena sudah sembuh atau karena meninggal.
Untuk pembuktian, kita akan meninjau kasus deterministik di mana periode inkubasi tepat I hari dan kasus keluar (sembuh atau meninggal) tepat K hari setelah inkubasi.
Maka
a[h] = S[h] – S[h-K]
S[h] = u[1] + u[2] + … + u[h]
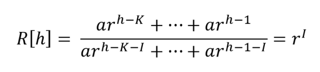
S[h] menyatakan banyaknya jumlah seluruh kasus dari hari 1 sampai hari h. Dan r menyatakan rasio geometri harian.
Dengan cara yang sama,
a[h-I] = S[h-I] – S[h-I-K]
Bagaimana pun a[h] dapat kita pandang sebagai suatu barisan geometri sesuai sifat replikasi virus atau wabah.
Maka



Terbukti perbandingan total kasus aktif menunjukkan angka pertumbuhan. Karena laporan kasus baru terdeteksi, umumnya, pada periode inkubasi maka kita mengambil periode inkubasi sebagai acuan.

Kita dapat menulis ulang,
A[n] = R*A[n-1]
Di mana sistem dinamik ini menunjukkan A[n] divergen, menuju tak hingga, bila R > 1. Sesuai dengan definisi bahwa wabah terus berkembang jika R > 1.
Dan A[n] menuju 0 bila R < 1. Sesuai dengan definisi bahwa wabah akan selesai bila R < 1.
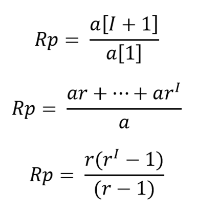
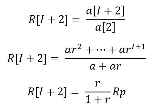
Menentukan nilai Ro
Nilai Ro kita estimasi ketika h < 2I dimana kita mendapatkan nilai R transien.
Dapat kita tunjukkan bahwa nilai R maksimum = Rp = R puncak.

Karena data pertama, paling awal, tersedia adalah a[1] maka kita definisikan
a[h] = a[1]
untuk semua h < 1.
Agar lebih mudah analisis kita juga dapat mendefinisikan a[h] = 0 untuk semua h < 1.

Terbukti bahwa Rp adalah R maksimal untuk I < h < 2I. Sedangkan untuk h < I maka bagian pembilang menjadi lebih kecil karena banyaknya suku kurang dari I suku dan penyebut tetap a[1]. Atau kita dapat mendefinisikan R = 1 untuk h < 1.
Yang menarik adalah untuk h = 2I maka dua cara menghitung R di atas – R transien dan R stabil – memberikan hasil R yang sama. Sehingga R dapat kita pandang sebagai fungsi kontinyu untuk h > 0.
Pengembangan Sistem Dinamik R
Di satu sisi kita membutuhkan cara efektif untuk estimasi R. Di sisi lain kita juga memerlukan suatu cara untuk mengendalikan nilai R. Maka saya menyusun sistem dinamik R sebagai berikut ini.

S = rate sembuh, diperoleh dari data lapangan
D = rate death, diperoleh dari data lapangan
P = paramater perilaku diperoleh dari perhitungan hari h-1
Metode Statistik
Kita memerlukan metode statistik di lapangan. Misalnya, hasil penelitian yang menyebutkan periode inkubasi I = 5,2 hari adalah tidak eksak. Melainkan merupakan mean atau median dengan confidence interval 95%.
Mempertimbangkan 5,2 hari adalah pecahan kita dapat membulatkan menjadi I = 5 hari. Hal ini lebih sesuai dengan ritme kehidupan manusia. Termasuk pencatatan dan pelaporan data yang kita perlukan.
Untuk mejaga kesinambungan hasil perhitungan dengan periode sebelumnya maka kita dapat menggunakan geometric mean rentang tiga hari terakhir. Maka nilai R yang akan kita sajikan menjadi,
R = (R[n]*R[n-1]*R[n-2])^{1/3)
Penggunaan geometric mean ini memberi informasi penting tentang histori. Misal di masa lalu nilai R > 1 kemudian jumlah total aktif a[h] konstan dalam waktu yang lama maka R tetap lebih dari 1 meski mendekati 1. Bila tidak memakai geometric mean maka R = 1, tepat.
Demikian pula jika R < 1 di masa lalu kemudian total kasus aktif a[h] konstan dalam rentang waktu yang lama maka tetap R < 1, meski makin dekat dengan 1.
Koreksi pembulatan periode inkubasi
Akibat kita membulatkan I ke bilangan bulat terdekat maka kita perlu melakukan koreksi pada hasil akhir. Terdapat tiga cara untuk melakukan koreksi.
Pertama, tidak dilakukan koreksi apa pun. Pertimbangannya adalah kita hanya memerlukan informasi R apakah lebih besar atau lebih kecil dari 1. Dan informasi ini sudah kita peroleh dengan baik.
Kedua, koreksi dengan cara mengalikan hasil akhir dengan faktor (5.2)/5 = 104%. Koreksi ini bersifat pesimis karena hasil koreksi R akan lebih besar 4% dari estimasi R semula. Tetapi hasil koreksi ini penting di lapangan karena menjadikan berbagai pihak lebih waspada.
Ketiga, koreksi proporsional. Dengan cara memangkatkan hasil estimasi R dengan pangkat (5,2)/5 = 1,04. Hasil koreksi ini memperkuat nilai R semula menjadi lebih lebar dari R = 1. Metode koreksi ketiga ini adalah yang paling konsisten secara matematis.
Perhitungan confidence interval
Menghitung confidence interval dapat kita lakukan dengan dua cara. Pertama langsung memanfaat ci yang tersedia dari sumber data inkubasi. Misal I = 5,2 hari dengan ci = 95% maka hasil estimasi R memiliki ci = 95% juga.
Hal ini karena kita memanfaatkan satu besaran yang berhubungan dengan I yaitu a[h-I] sebagai pembagi terhadap a[h].
Batas atas dan batas bawah konsisten mengikuti batas atas dan batas bawah dari mean periode inkubasi. Perlu dicatat bahwa ketika R < 1 kadang kita perlu menukar posisi batas atas dan batas bawah.
Cara kedua menghitung ci adalah dengan menghitung berbagai macam R dengan periode inkubasi yang beragam. Lalu mengolah hasil perhitungan R ini untuk mendapatkan mean atau median lengkap dengan confidence interval yang diperlukan.
Misal untuk kasus covid-19 kita dapat menghitung R untuk asumsi periode inkubasi 1 hari sampai dengan periode inkubasi 14 hari. Maka kita peroleh dara R sebanyak 14 buah data. Dari data ini kita hitung mean atau median lengkap dengan confidence interval.
Asumsi periode 7 hari
Jika tidak tersedia data dari pihak lain tentang periode inkubasi maka kita dapat melakukan estimasi periode sebagai I dan memanfaatkan periode kerja manusia membentuk ritme 7 harian.
Misal untuk kasus covid-19 kita estimasi sendiri I = 4 hari, karena tidak tersedia data dari pihak lain. Selanjutnya kita akan menghitung R[sementara] berikut,
R[s] = a[h]/a[h-7]
dan
R = R[s])^(I/7) = R[s]^(4/7)
Hasil estimasi R ini tetap konsisten. Bahkan lebih sesuai dengan ritme kerja manusia 7 harian.
Data Realtime
Kita memerlukan data realtime R untuk dimanfaatkan oleh banyak pihak menentukan respon guna mengendalikan suatu wabah.
Dalam contoh kasus covid-19 kita melakukan sampling data setiap 1 hari. Rentang waktu 1 hari kadang dirasa terlalu lama untuk dari sisi praktis. Maka kita dapat melakukan sampling lebih sering misalnya tiap 1 jam. Yakni terjadi 24 sampling dalam 1 harinya.
Tentu saja sampling tiap 1 jam tetap konsisten dengan perhitungan di atas. Poin terpenting adalah konsisten membandingkan a[h] dengan a[h-I]. Yaitu, sebagai contoh, membandingkan hasil sampling pukul 09.00 hari Senin dengan hasil sampling pukul 09.00 hari Rabu sebelumnya.
Periode sampling yang lebih pendek menghasilkan grafik R yang lebih halus.
Simulasi
Bagian awal simulasi kita akan menghitung nilai Ro dengan data-data simulasi yang tersedia untuk negara Indonesia secara nasional. Bagian selanjutnya kita akan simulasi menghitung nilai R efektif Indonesia dan beberapa wilayah.
Ro Indonesia
Data yang resmi dipublikasikan di Indonesia pada awal-awal covid-19 dapat kita lihat di bagian bawah ini.

Pada masa-masa awal ini, kasus keluar utamanya dikarenakan meninggal. Kasus keluar karena sembuh menunggu waktu realtif lebih lama. Dari data di atas kita estimasi nilai
R[h] = a[h]/a[h-5]
Kita peroleh grafik R sebagai berikut.

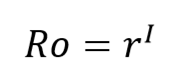
Selanjutnya kita akan memecahkan persamaan Rp = 13,5 untuk mendapatkan nilai r yang merupakan geometric mean of ratio harian. Kita memilih periode inkubasi I = 5 hari.

Kita peroleh r = 1,35
Maka Ro,

Ro = 4,51
Sedangkan bila kita menerapkan faktor koreksi dengan memangkatkan I = 5,2 maka kita peroleh Ro lebih besar.
Ro (Setelah koreksi) = 4,79
Nilai Ro ini penting ketika kita hendak menyusun strategi herd immunity di mana diperlukan minimal 1 – 1/Ro dari populasi harus imun. Baik imun karena sembuh dari infeksi atau vanksinasi. Untuk kasus Indonesia di atas maka batas minimal imun adalah,
1 – 1/Ro = 1 – 1/4,79 = 0,79 = 79%
Ditbutuhkan 79% populasi imun agar tercapai herd immunity.
R efektif Indonesia
Berikutnya kita akan melakukan simulasi perhitungan R efektif untuk Indonesia. Kita mengacu data resmi yang diumumkan oleh gugus tugas melalui berbagai media.

R[h] = a[h]/a[h-5]
R = geometric mean of R[h], R[h-1], R[h-2] dan faktor koreksi 1,04
R2 = batas bawah (garis putus bawah) = a[h]/a[h-2]
R8 = batas atas (garis putus atas)= a[h]/a[h-8]
Kita sajikan dalam bentuk grafik R Indonesia sebagai berikut.

Kita lihat nilai R Indonesia sepanjang bulan Juni 2020 konsisten lebih dari 1. Di mana hal ini menunjukkan bahwa pandemi di Indonesia masih terus berkembang selama bulan Juni.
Hasil yang berbeda ketika kita simulasi menghitung nilai R dari Bali. Pada bulan Mei 2020, Bali sempat nilai R di bawah 1 cukup lama. Sedangkan di bulan Juni, nilai R Bali juga konsisten di atas 1. Hal ini menunjukkan nilai R dinamis berubah seiring waktu.

Hasil Kajian
- Metode GMR untuk estimasi angka reproduksi terbukti efektif dan mudah dilakukan. Karena GMR hanya membutuhkan operasi hitung perbandingan dan eksponen maka bisa dilakukan hanya dengan komputer sederhana atau kalkulator.
- Metode GMR mengacu hasil kajian statistik dari pihak lain, atau dilakukan kajian sendiri, untuk menentukan periode inkubasi maka confidence interval hasil estimasi GMR terkait dengan confidence interval dari data acuan.
- Metode GMR, secara mendasar, melakukan operasi hitung terhadap data kasus total aktif. Maka akurasi data kasus total aktif menjadi sangat penting.
- Karena hakikat nilai R tidak diketahui maka GMR hanya dapat melakukan estimasi. Pendekatan statistik menjadi penting. Menentukan mean atau median lengkap dengan confidence interval.
- Pembuktian matematika menentukan nilai r, geometric mean of ratio harian, memudahkan kita menentukan nilai R efektif dan Ro.
- Nilai R efektif dapat langsung dihitung dari formula R = a[h]/a[h-I] untuk besaran waktu h > 2I.
- Sedangkan untuk h < 2I kita perlu memecahkan persamaan R puncak untuk mendapat nilai r kemudian menghitung Ro.
- Untuk mendapatkan nilai R yang stabil dan terkait dengan histori maka disarankan untuk menghitung geometric mean dari R.
- Faktor koreksi perlu diterapkan mengingat kegiatan manusia terbiasa periodik harian atau mingguan. Sementara pertumbungan virus tidak terikat periode yang sama.
- Hasil simulasi menunjukkan nilai R dinamik bergerak naik turun. Maka perlu mempertimbangkan nilai R dalam rentang waktu yang cukup lama.
- Hasil simulasi R untuk Indonesia menunjukkan angka konsisten di atas 1 maka perlu respon seluruh pihak terkait dengan lebih waspada.
- Hasil simulasi R untuk Bali menunjukkan yang semula bulan Mei sempat di bawah 1 dapat berubah menjadi konsisten di atas 1 sepanjang bulan Juni 2020. Perlu respon yang tepat dari berbagai pihak.
- Hasil simulasi nilai Ro = 4,79 untuk Indonesia menunjukkan bahwa batas ambang herd immunity adalah 79% pupulasi Indonesia perlu imun. Hal ini hanya layak dilakukan bila ditemukan vaksin yang efektif dan biaya terjangkau.
- Dari model yang dikembangkan, nilai R mendapat feedback posistif dari parameter perilaku P. Maka perlu menurunkan nilai parameter P agar nilai R menjadi turun. Sedangkan angka kesembuhan S memberi feedback negatif maka dengan meningkatkan angka kesembuhan makin menurunkan angka R.
- Hasil estimasi R dengan GMR, meski barangkali berbeda dengan estimasi metode lain, dapat kita gunakan untuk memprediksi pertumbuhan wabah karena hakikatnya menghitung ratio geometri suatu deret.
Kesimpulan dan Saran Lanjutan
- Estimasi nilai R dengan metode GMR terbukti sah secara teori matematika.
- Metode GMR berhasil mengestimasi nilai R efektif mau pun nilai Ro.
- Proses perhitungan GMR dapat dilakukan dengan mudah menggunakan perangkat komputer sederhana.
- Proses yang mudah memungkinkan GMR memberi feedback yang cepat kepada berbagai pihak untuk memberi respon yang tepat terhadap pandemi.
- Saran lanjutan adalah perlu dilakukan kajian lebih mendalam metode memperoleh data total kasus aktif yang akurat sehingga memberikan nilai R yang lebih akurat. Perlu juga kajian lanjutan faktor-faktor apa saja yang mempengaruhi nilai R sehingga kita dapat mengendalikan suatu wabah dengan lebih efektif.


Tinggalkan komentar